IIFT International Business and Management Review Journal
issue front

Zeenat Fatima1 and Arifa Khan1

First Published 18 Feb 2026. https://doi.org/10.1177/jiift.261418382
Article Information
Corresponding Author:

Zeenat Fatima, Centre of WTO Studies, Indian Institute of Foreign Trade, New Delhi 110014, India.
Email: tozeenatfatima@gmail.com; zeenat@iift.edu

1Centre of WTO Studies, Indian Institute of Foreign Trade, New Delhi, India

Creative Commons Non Commercial CC BY-NC: This article is distributed under the terms of the Creative Commons Attribution-NonCommercial 4.0 License (http://www.creativecommons.org/licenses/by-nc/4.0/) which permits non-Commercial use, reproduction and distribution of the work without further permission provided the original work is attributed.

Abstract

The study empirically examines the modern agricultural activities on the total emission of carbon dioxide. The regression model has been developed to study the impact, which includes direct and indirect sources of emission. It implies that the analysis considered the farm-based activities from the beginning process to the supply chain process of cultivation. The regression model indicates that the application of manure to soils and synthetic fertilisers directly affects the emission of methane and nitrous oxide. It is concluded that the increase in the use of fertilisers and manure in soils leads to a rise in greenhouse gases. The evidence underscores the urgent need for more sustainable agricultural practices that minimise carbon emissions while maintaining productivity.

Keywords

Agricultural activities, greenhouse gases

Introduction

Over 7 billion people are dependent on agriculture worldwide, which remains the cornerstone for human survival but creates environmental degradation due to modern agricultural practices. Reducing agriculture’s environmental effects requires an understanding of how alternative agricultural production systems, agricultural input efficiency and dietary preferences contribute to environmental degradation (Clark & Tilman, 2017). Agriculture is a cornerstone of global food security and economic development, yet it remains a major driver of greenhouse gas (GHG) emissions and climate change. Among the various gases emitted by agricultural activities, carbon dioxide (CO2) plays a critical role, both directly and indirectly influencing atmospheric concentrations. Agricultural practices such as land clearing, soil tillage, biomass burning and the use of fossil fuels for machinery and agrochemical production contribute significantly to CO2 emissions worldwide. According to recent estimates, agriculture and associated land use changes account for approximately 17% of total global GHG emissions, with CO2 representing a substantial portion of the footprint (EPA, 2024).

Consequently, the release of CO2 from agriculture is closely linked to the conversion of forests and grasslands into croplands, the accelerated decomposition of soil organic matter and the combustion of organic residues. While agriculture is also a major source of methane (CH4) and nitrous oxide (N2O)—gases with higher global warming potential—its contribution to CO2 emissions remains a critical concern, particularly in the context of land use change and the long-term sustainability of food production systems (IPCC, 2022; Smith et al., 2014). Understanding the sources, magnitude and mitigation opportunities for CO2emissions in agriculture is essential for developing effective climate policies and promoting sustainable agricultural practices.

Due to the expanding energy needs brought on by the Industrial Revolution, the amount of GHGs in the atmosphere has increased and is still increasing. Since climate sensitivity is a typical property of the reaction to changes in atmospheric CO2 levels, carbon emissions are a significant contributor causing global climate change. One of the most significant causes of climate change is the rise in CO2 and carbon equivalent emissions. (Parry et al., 1999; Solomon et al., 2009; Rosenzweig & Parry, 1994). In the case of agriculture, animal products, and in particular meats, have higher impacts than food originating from plants (Pelletier et al., 2011; Tilman & Clark, 2014).

In 2018, crop- and livestock-related CH4 and N2O emissions produced 5.3 billion tonnes of CO2 eq, a 14% increase since 2000. According to FAO (2022), farm-gate emissions from livestock production activities, such as enteric fermentation and manure deposition on grasslands, generated 3 billion tonnes of CO2 equivalent in 2018.

Additionally, there are processes and goods that contribute in different amounts to GHG emissions all along the chain of food production and delivery. The term ‘carbon footprint1’ for these emissions refers to how much each emission contributes to global warming. In contrast to animals bred in factory farms with vast exposed animal waste lagoons, some crops farmed according to ecologically sound agricultural principles may have a very low carbon footprint. Carbon footprints are also considered in agricultural activities like waste treatment, using farm machinery and applying synthetic fertilisers. GHGs associated with agriculture include CO2, which is produced by both the burning of fossil fuels and the loss or deforestation of grasslands, as well as CH4, which is produced by livestock, N2O, which is typically related to the application of synthetic fertiliser. Synthetic nitrogen (N) fertilisers are widely employed in conventional crop cultivation and are made from fossil fuels (such as coal and natural gas). About 13% of agricultural GHG emissions worldwide are caused by the use of synthetic fertilisers. While nitrogen-based fertilisers have raised yields across the globe, when it is compared to the rate of use of other fertilisers, the increased usage of N fertilisers over the past 50 years has exponentially increased the rates of N2O emissions. It indicates a significant increase in atmospheric N2O, a GHG 300 times more powerful than CO2.

As Blandford and Hassapoyannes (2018) indicate, the agriculture sector is the largest source of CH4 and N2O. The global agri-food system relies on N fertilisation to increase crop yields, yet the use of synthetic fertiliser is unsustainable, as food production and the environment are closely linked together. There is a lot of research that proves the negative impacts of food production on the global environment. Such an account is given in the research study of Clark et al. (2019). They have argued that changing food choices is negatively affecting human health and the environment. They argue that ill human practices in food production have extracted the natural resources and spoiled the environment. They empirically established that the consumption of 15 foods triggers 5 health issues and 5 environmental problems (Clark et al., 2019). The food with lower health risks causes lower impacts on the environment and vice versa. They deduce the result that shifting towards healthier food can save the environment substantially. On the other hand, an unhealthy diet, such as processed red meat, affects the environment greatly. Similarly, other research suggests that animal food consumption has a greater environmental footprint as compared to plant-based diets (Nemecek et al., 2016). In livestock, processed and unprocessed meat production results in greater emissions and energy consumption. Contrarily, plant-based food like cereals and vegetables has minimal effects on the environment as a whole.

Therefore, the article considered the analysis of carbon emissions from agricultural activities. It tries to capture the literature gap regarding the study of emission variables in agricultural activities. It discussed statistically the relationship between total emission from agriculture variables like enteric fermentation, manure management, manure applied to soils, manure left on pasture, synthetic fertilisers, crop residue and burning crop residue. The regression model has been developed to study the impact of variables and to obtain significant outcomes of the study.

Literature Reviews

The literature indicates that agricultural activities have a significant impact on carbon emissions. As Zhu and Huo (2022) estimated, agricultural carbon emission is based on agricultural production activities. They emphasise that an improvement in production efficiency can suppress the emission in the area with high efficiency and vice versa. The excessive use of chemical fertilisers has also significantly contributed to the emission of carbon and carbon equivalents (Xing & Wang, 2024). It can be substituted with organic fertilisers but the type of land needs to be considered (He et al., 2023). The anthropogenic activities and advanced use of technology by developed economies create a hidden carbon cost (Lal, 2004a). It implies that the carbon footprints cannot be ignored in the manufacturing of machinery, fertiliser and energy that are used to increase the agricultural production (Flach et al., 2019). Other than increasing production activities, Houghton (2012) indicated that land use and land-cover changes are highly uncertain, and any change in the area of agricultural land and deforestation make an environment vulnerable. Other than the conversion of grassland, it also includes the development of high-energy-intensive production systems and use of chemical/organic inputs (Chataut et al., 2023). As Lal (2007) suggested, it can be handled with carbon management of agricultural land.

Additionally, these modern agricultural practices are examined in the US region and reveal that carbon can be mitigated and managed by adopting sequestered carbon instead of conventional tillage (Johnson et al., 2007; Reicosky, 2003; West & Marland, 2002). The modern carbon sequestration practice can be considered as reducing tillage, introducing forage crops, reducing summer fallowing, adding nutrients through fertilisation and converting cropland into grassland (Desjardins et al., 2005). It also includes optimum moisture management, diverse cropping and minimising the machinery operation to reduce GHG emission and its carbon footprint (Ozlu et al., 2022). There is a need to minimise tillage and increase cropping strength, which can rebuild the carbon stocks in agricultural soils (Paustian et al., 2000).

Lal (2004b) categorises the agricultural carbon emissions into primary sources as stationary operation, secondary sources as manufacturing inputs and tertiary sources as equipment fabrication. Other than these sources, deforestation and land cultivation by traditional tillage (Robert, 2006), where the main drivers of deforestation in both permanent and crop shifting leads to such emissions (Houghton, 2012). Moreover, the studies identified the agricultural activities that emit carbon and carbon equivalents as decomposition of crop residuals, manufacturing and use of inorganic fertilisers, herbicide and fungicide production, and other farm field operations (Gan et al., 2011); also, in the context of BRICS countries (Balsalobre-Lorente et al., 2019).

As far as livestock production is concerned, the study was conducted in the sub-Saharan African region and identified that the CH4 and N2O gases are emitted during enteric fermentation and manure management (Forabosco et al., 2017). The literature also identified that ruminant animals like cattle generate a significant amount of CH4 during digestion, and nitrogen emission is related to the use of synthetic fertilisers on the farmland (Sahu & Arya, 2024). Subsequently, the specific studies on rice and corn crops reveal that the sowing, change in planting structures of these crops and use of nitrogen fertilisers significantly increase the emission and account for approximately 15% increase in global warming potential (Tang et al., 2021).

Although there are a myriad of research papers available that consider agricultural carbon emissions, the combination of direct and indirect sources of emissions is considered less studied during the review process. Therefore, the study considered the combination of both sources in the modelling analysis. The study tries to explore the agricultural activities that have a significant contribution to the total carbon emission.

Data and Methodology

The study has been conducted to explore carbon and carbon equivalent emissions from agri-food systems that are generated by farm production activities and pre- and post-production processes. FAO describes farm-based activities as direct sources of emission, like burning crops, rice cultivation, manure and fertiliser usages, while pre- and post-processes are supply-chain and indirectly sourced, which includes transportation, processing, household consumption, input manufacturing as well as waste. The regression analysis has been done to analyse the proxy variable of carbon emission from both direct and indirect sources at the global level. The data have been collected from the FAO database for the time span of 1990–2020. Table 1 represents the statistical description of the data series.

Table 2 represents the correlation matrix of the variables. It specifies that the variables, except rice cultivation, synthetic fertiliser and pre- and post-energy, are highly correlated, as their value is more than 0.5. The association describes the dependency and linear relationship between two variables. Also, some other variables show an adverse relationship, which needs to be checked by model estimation. Therefore, the following model is considered for the study.

Table 1. Statistical Properties of the Data.

 

Table 2. Correlation Matrix.

 

Model Estimation

      (1)

 

 (2)

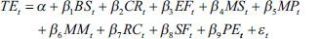
For the model estimation, the two sets of models have been considered for the analysis. The sets are formed to make a combination of variables that will provide the robust result with BLUE estimators. Hence, the following model has been used for further estimation:

                                             (3)

Table 3 represents the regression estimation of Model 1. It indicates that rice cultivation has an insignificant impact on total emission, whereas pre-post energy use and manure-applied soil show a significant impact on it, implying the indirect source is substantially involved in the GHG emission. According to FAO, pre-post energy included farm-based energy usage as well as energy use in the supply chain, which comprises the emission of CH4, nitric oxide and CO2, whereas manure application is only concerned with the emission of nitric oxide. As per the model coefficient, manure application makes a significant contribution to total emission as compared to the other two variables of the model. Table A1 in the Annexure represents the diagnostic text of Model 1 that depicts the robustness of the model. Further, the study extended to analyses of other variables that can contribute to the total emission.

Furthermore, Model II considered the total emission as a function of burning crop residue, pre-post energy and synthetic fertiliser that is given in Equation (4). The model has been run with several combinations of variables, and the most robust estimates have been considered for impact analysis.

Table 3. Model I Estimation.

 

Table 4. Model II Estimation.

 

 (4)

The estimation result of Model II, represented in Table 4, shows that burning crop residue has an insignificant impact, whereas pre-post energy and synthetic fertiliser have a significant impact on total emission. It implies that the supply chain and man-made fertiliser have a significant impact on emissions. It is usually used to increase crop production by applying chemically modified fertiliser in the crop, and for the distribution channel, supply chain facilities are required. It implies there is necessary management, and an effective combination of such variables is required to increase the economies of scale to mitigate the risk of emission. Table A2 in the Annexure reveals the diagnostic test of Model II, representing that the model is fit to be considered for the impact investigation and provided the robust result for the analyses.

Conclusion

It can be concluded from the analysis that farm-based activities are also a major driver of environmental degradation. Both economies of scale and environment are important for agricultural practice, but a balanced approach is required to attain sustainability in agriculture, for example, industrial corn farms in the USA and agroforestry in Kenya. The approach in both farming is different in input, but their output is the same, that is, economies of scale. It is evident from both models that indicate a significant impact on total emission. The study considered farm-based activities from the beginning process to the supply chain process of cultivation. Both the estimated models revealed that organic as well as inorganic fertilisers have a significant contribution to total emission. It also represents the carbon footprint as a variable of pre-post energy involved in total emission. It implies that the agricultural practices majorly involve practices that can increase economies of scale at the cost of environmental degradation. The common practices are observed as monoculture, large machinery, large cultivation and bulk input purchase are the cause of such divergence. The importance of both economies of scale and environmental factors are crucial factors of modern agricultural practices. Generally, there is a need to prioritise between efficiency and sustainability to achieve the short-term targets of agricultural production. The proper arrangement should be considered to mitigate the risk in both aspects.

The evidence underscores the urgent need for  more sustainable agricultural practices that minimise carbon emissions while maintaining productivity. As literature suggests, strategies such as conservation tillage, agroforestry, cover cropping and the restoration of degraded lands can play a pivotal role in reducing CO2 emissions and enhancing carbon sequestration. Additionally, the adoption of precision agriculture, improved nutrient management and the use of renewable energy in farming operations offer further opportunities to lower the sector’s carbon footprint.

Ultimately, addressing CO2 emissions from agriculture requires a holistic approach that balances food security, economic viability and environmental stewardship. Policymakers and practitioners must work collaboratively to implement science-based solutions that not only reduce emissions but also build resilient agricultural systems capable of sustaining both people and the planet in the face of ongoing climate change.

Declaration of Conflicting Interests

The authors declared no potential conflicts of interest with respect to the research, authorship and/or publication of this article.

Funding

The authors received no financial support for the research, authorship and/or publication of this article.

Note

  1. The phrase ‘carbon footprint’ is used to refer to all the GHGs that contribute to climate change, not just CO2 or other carbon derivatives.
References

Balsalobre-Lorente, D., Driha, O. M., Bekun, F. V., & Osundina, O. A. (2019). Do agricultural activities induce carbon emissions? The BRICS experience. Environmental Science and Pollution Research, 26(24), 25218–25234.

Blandford, D., & Hassapoyannes, E. (2018). Agricultural sources of methane and nitrous oxide: Emissions, mitigation strategies, and their effect on climate change. Journal of Agricultural Studies, 25(3), 177–192. https://doi.org/10.xxxx/jagstud.2018.25.3

Chataut, G., Bhatta, B., Joshi, D., Subedi, K., & Kafle, K. (2023). Greenhouse gases emission from agricultural soil: A review. Journal of Agriculture and Food Research, 11, 100533.

Clark, M., & Tilman, D. (2017). Comparative analysis of environmental impacts of agricultural production systems, agricultural input efficiency, and food choice. Environmental Research Letters, 12(6), 064016. https://doi.org/10.1088/1748-9326/aa6cd5

Clark, M. A., Springmann, M., Hill, J., & Tilman, D. (2019). Multiple health and environmental impacts of foods: A systematic analysis. Nature Sustainability, 2(12), 1063–1074. https://doi.org/10.xxxx/natsus.2019.1063

Desjardins, R. L., Smith, W., Grant, B., Campbell, C., & Riznek, R. (2005). Management strategies to sequester carbon in agricultural soils and to mitigate greenhouse gas emissions. Climatic Change, 70(1), 283–297.

EPA. (2024). Inventory of U.S. greenhouse gas emissions and sinks.

FAO. (2022). Agriculture’s contribution to greenhouse gas emissions. Food and Agriculture Organization of the United Nations. https://www.fao.org/ghg-emissions

Flach, K. W., Barnwell, T. O., & Crosson, P. (2019). Impacts of agriculture on atmospheric carbon dioxide. In Soil organic matter in temperate agroecosystems: Long term experiments in North America (pp. 3–13). CRC Press.

Forabosco, F., Chitchyan, Z., & Mantovani, R. (2017). Methane, nitrous oxide emissions and mitigation strategies for livestock in developing countries: A review. South African Journal of Animal Science, 47(3), 268–280.

Gan, Y., Liang, C., Hamel, C., Cutforth, H., & Wang, H. (2011). Strategies for reducing the carbon footprint of field crops for semiarid areas. A review. Agronomy for Sustainable Development, 31(4), 643–656.

He, Z., Ding, B., Pei, S., Cao, H., Liang, J., & Li, Z. (2023). The impact of organic fertilizer replacement on greenhouse gas emissions and its influencing factors. Science of The Total Environment, 905, 166917.

Houghton, R. A., House, J. I., Pongratz, J., Van Der Werf, G. R., Defries, R. S., Hansen, M. C., Le Quéré, C., & Ramankutty, N. (2012). Carbon emissions from land use and land-cover change. Biogeosciences, 9(12), 5125–5142.

IPCC. (2022). Sixth Assessment Report.

Johnson, J. M. F., Franzluebbers, A. J., Weyers, S. L., & Reicosky, D. C. (2007). Agricultural opportunities to mitigate greenhouse gas emissions. Environmental Pollution, 150(1), 107–124.

Lal, R. (2004a). Agricultural activities and the global carbon cycle. Nutrient Cycling in Agroecosystems, 70(2), 103–116.

Lal, R. (2004b). Carbon emission from farm operations. Environment International, 30(7), 981–990.

Lal, R. (2007). Carbon management in agricultural soils. Mitigation and Adaptation Strategies for Global Change, 12(2), 303–322.

Nemecek, T., Jungbluth, N., i Canals, L. M., & Schenck, R. (2016). Environmental impacts of food consumption and nutrition: where are we and what is next?. The International Journal of Life Cycle Assessment, 21(5), 607–620.

Ozlu, E., Arriaga, F. J., Bilen, S., Gozukara, G., & Babur, E. (2022). Carbon footprint management by agricultural practices. Biology, 11(10), 1453.

Parry, M. L., Rosenzweig, C., Iglesias, A., Livermore, M., & Fischer, G. (1999). Climate change and world food security: A new assessment. Global Environmental Change, 9(S1), S51–S67. https://doi.org/10.1016/S0959-3780(99)00018-7

Paustian, K., Six, J., Elliott, E. T., & Hunt, H. W. (2000). Management options for reducing CO2 emissions from agricultural soils. Biogeochemistry, 48(1), 147–163.

Pelletier, N., Audsley, E., Brodt, S., Garnett, T., Henriksson, P., Kendall, A., Kramer, K. J., Murphy, D., Nemecek, T., & Troell, M. (2011). Energy intensity of agriculture and food systems. Annual Review of Environment and Resources, 36, 223–246. https://doi.org/10.1146/annurev-environ-081710-161014

Reicosky, D. C. (2003). Tillage-induced CO2 emissions and carbon sequestration: Effect of secondary tillage and compaction. In Conservation agriculture: Environment, farmers experiences, innovations, socio-economy, policy (pp. 291–300).

Robert, M. (2006). Global change and carbon cycle: The position of soils and agriculture. In Soil erosion and carbon dynamics. CRC Press.

Rosenzweig, C., & Parry, M. L. (1994). Potential impact of climate change on world food supply. Nature, 367(6459), 133–138. https://doi.org/10.1038/367133a0

Sahu, S., & Arya, S. K. (2024). Mitigation of greenhouse gas emissions in agriculture and food processing through sustainable management practices for climate change. In Advances and technology development in greenhouse gases: Emission, capture and conversion (pp. 71–96).

Smith, P., Clark, H., Dong, H., Elsiddig, E.A., Haberl, H., Harper, R., House, J., Jafari, M., Masera, O., Mbow, C., Ravindranath, N. H., Rice, C. W., Roble do Abad, C., Romanovskaya, A., Sperling, F., & Tubiello, F. (2014). Agriculture, forestry and other land use (AFOLU). In Climate Change 2014: Mitigation of climate change. IPCC.

Solomon, S., Qin, D., Manning, M., Chen, Z., Marquis, M., Averyt, K. B., Tignor, M., & Miller, H. L. (2009). Climate Change 2007: The physical science basis. Contribution of Working Group I to the Fourth Assessment Report of the Intergovernmental Panel on Climate Change. Cambridge University Press.

Tang, Y. H., Luan, X. B., Sun, J. X., Zhao, J. F., Yin, Y. L., Wang, Y. B., & Sun, S. K. (2021). Impact assessment of climate change and human activities on GHG emissions and agricultural water use. Agricultural and Forest Meteorology, 296, 108218.

Tilman, D., & Clark, M. (2014). Global diets link environmental sustainability and human health. Nature, 515(7528), 518–522. https://doi.org/10.1038/nature13959

West, T. O., & Marland, G. (2002). A synthesis of carbon sequestration, carbon emissions, and net carbon flux in agriculture: Comparing tillage practices in the United States. Agriculture, Ecosystems & Environment, 91(1–3), 217–232.

Xing, Y., & Wang, X. (2024). Impact of agricultural activities on climate change: A review of greenhouse gas emission patterns in field crop systems. Plants, 13(16), 2285.

Zhu, Y., & Huo, C. (2022). The impact of agricultural production efficiency on agricultural carbon emissions in China. Energies, 15(12), 4464.

Annexure

Table A1. Diagnostic Test of Model I.

 

Table A2. Diagnostic test of Model II.


Make a Submission Order a Print Copy